▍ 簡要說明 ↴
交直流高壓分壓器是電力系統及電氣電子設備制造部門在測量工頻交流高壓和直流高壓時使用的一種阻容等電位屏蔽分壓式高壓測量裝置,其主要用于脈沖高壓、雷電高壓及工頻高壓的測量。
▍ 功能特點 ↴
► 精度高:采用精密高壓薄膜電容和精密高壓玻璃釉電阻,輸入阻抗高,降低了測試電流,功耗小,提高了儀器的測量精度和穩定性;信號處理部分,采用高性能OP進行信號放大,運用 新雙積分式AD采樣技術,四位半液晶顯示, 高分辨力達到0.001kV,是高壓靜電電壓表的更新換代產品。
► 抗干擾性能好:采用特殊屏蔽技術。鋁合金材料的均壓球表面光滑亮澤,有效地改善了均壓球周圍的電場分布,防止出現尖端放電,提高測量數據的抗干擾能力;低壓顯示儀表采用全金屬封閉結構屏蔽,高壓分壓器和低壓顯示表采用高品質同軸電纜連接,減少高壓對示值的影響,從而實現高穩定度,高線性度。
► 安全可靠:儀器由高壓分壓器和低壓顯示儀表構成,高壓分壓器采用美國杜邦填充材料,特種工藝灌封,結構更小,重量更輕,內部局部放電量降到 低,可靠性更高,不存在漏油問題。工作時高壓分壓器和低壓儀表采用同軸電纜連接,高低壓部分距離較遠,工作安全可靠。
► 操作簡單:采用撥碼開關切換高低壓、交直流,方便快捷。四位半液晶直接顯示測量結果,簡單直觀,為現場的檢測工作帶來極大的便利。
► 攜帶方便:采用便攜式結構,整機用鋁合金包裝箱作機殼,可方便地拆裝。體積小、重量輕,便于攜帶,使用十分方便。
▍ 技術參數 ↴
● 連接同軸電纜:3m/4m
▍ 設計原理電路圖 ↴

高壓分壓器設計原理電路圖
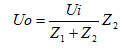
高壓分壓器設計原理:交直流高壓分壓器采用阻容分壓法測量高壓交直流,如圖1所示。左側是高壓部分,采用阻容分壓電路,由阻抗Z1和Z2兩部分組成。高壓Ui從上端均壓球處輸入,從阻抗Z2處輸出低壓取樣信號Uo;右側是低壓顯示表,用于處理低壓取樣信號Uo。低壓取樣信號Uo經整流濾波放大處理后送入低壓顯示表顯示。高壓Ui和Uo關系式如公式(1)所示:
▍ 高壓分壓器故障判斷 ↴
|
故障現象 |
故障排除 |
|
開機后無反應,液晶屏無顯示 |
更換低壓顯示表內電池 |
|
測試結果偏差太大 |
檢查同軸電纜是否連接良好 |
|
測量時有較明顯的放電聲音 |
檢查接地是否良好 |
|
高壓分壓器可能受潮,用干抹布擦拭高壓分壓器殼體,然后用干燥吹風機至上而下吹五分鐘 |